SSC Constable (GD) 2011 – 05 june 2011 Morning Shift ( Reasoning , Math’s , GK , English )
SSC GD constable Free Online Mock Test
No of Question : – 100
Reasoning , Math’s , GK , English
Attempt All Question , No negative marking , every question Carry 1 Marks .
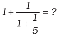
16
SSC GD 2021 15 Practice Set PDF :- हिन्दी भाषा वाले 15 अभ्यास सेट पीडीएफ़ के लिए यहाँ क्लिक करे – Click here for English Medium 15 Practice Set PDF
SSC GD 2021 – 20 Model Practice Set PDF :- हिन्दी भाषा वाले 20 मॉडेल अभ्यास सेट पीडीएफ़ के लिए यहाँ क्लिक करे – Click here for English Medium 20 Model Practice Set PDF
video solution /वीडियो समाधान
Telegram on 7979946092 for any Query .
किसी भी प्रकार की सहायता के लिए 7979946092 पर टेलीग्राम कीजिए ।
